徳島のウェディング情報誌「ウェディングスタイル」の編集部ブログ
[ウェディングスタイルからのお知らせ]
いつも編集部日記をご愛読頂きありがとうございます。
突然ではありますが、この編集部日記は2012年11月末日を持って更新を終了させて頂きます。
いつもご愛読頂いておりましたお客様には大変感謝しております。
尚、ウェディングスタイル・ネットの方では、引続きウェディング情報を発信させて頂いております。
その他、新しくなったブラカンブログや関東でもブライダルカウンターがカップルの皆様のサポートをさせて頂きます。
今後ともウェディングスタイルを何卒よろしくお願い申し上げます。
ウェディングスタイル徳島版を発行している編集部のブログです。ウェディングのことやスタッフのプライベートまで。ウェディングスタイルがもっと身近に感じられるハズ!
編集部紹介
【徳島編集部】
カレンダー
| 11 | 2025/12 | 01 |
| S | M | T | W | T | F | S |
|---|---|---|---|---|---|---|
| 1 | 2 | 3 | 4 | 5 | 6 | |
| 7 | 8 | 9 | 10 | 11 | 12 | 13 |
| 14 | 15 | 16 | 17 | 18 | 19 | 20 |
| 21 | 22 | 23 | 24 | 25 | 26 | 27 |
| 28 | 29 | 30 | 31 |
最新記事
(12/01)
(11/20)
(11/17)
(11/16)
(11/15)
最新コメント
最新トラックバック
カテゴリー
こんにちは。ゆっちです。
もうすぐお盆ですね。
もうお休みに入られている方も少なくないのでは?
そして、いよいよ明日からは阿波踊りの始まり。
徳島が最もにぎわうひと時ですよね。
元徳島ブラカンスタッフのミッキーも踊るために来徳するようです。
もうすぐお盆ですね。
もうお休みに入られている方も少なくないのでは?
そして、いよいよ明日からは阿波踊りの始まり。
徳島が最もにぎわうひと時ですよね。
元徳島ブラカンスタッフのミッキーも踊るために来徳するようです。
そんな中、今ウェディングスタイル編集部はあるものに追われています。
警察? 犯人? 夏休みの宿題??
いえいえ、違います。
それはブライダル白書という冊子の作成なんです。
なんじゃそりゃ?
という方も多いでしょう。
それはなにかというと…スタイルクラブのメンバーさんが無事結婚式を終え「寿退会」の時を迎えると、最後にアンケートを送らせてもらっています。
結婚についていろいろと質問するアンケートなのですが、質問数は…
(ヽ´ω`)かなり多いっス…(笑)
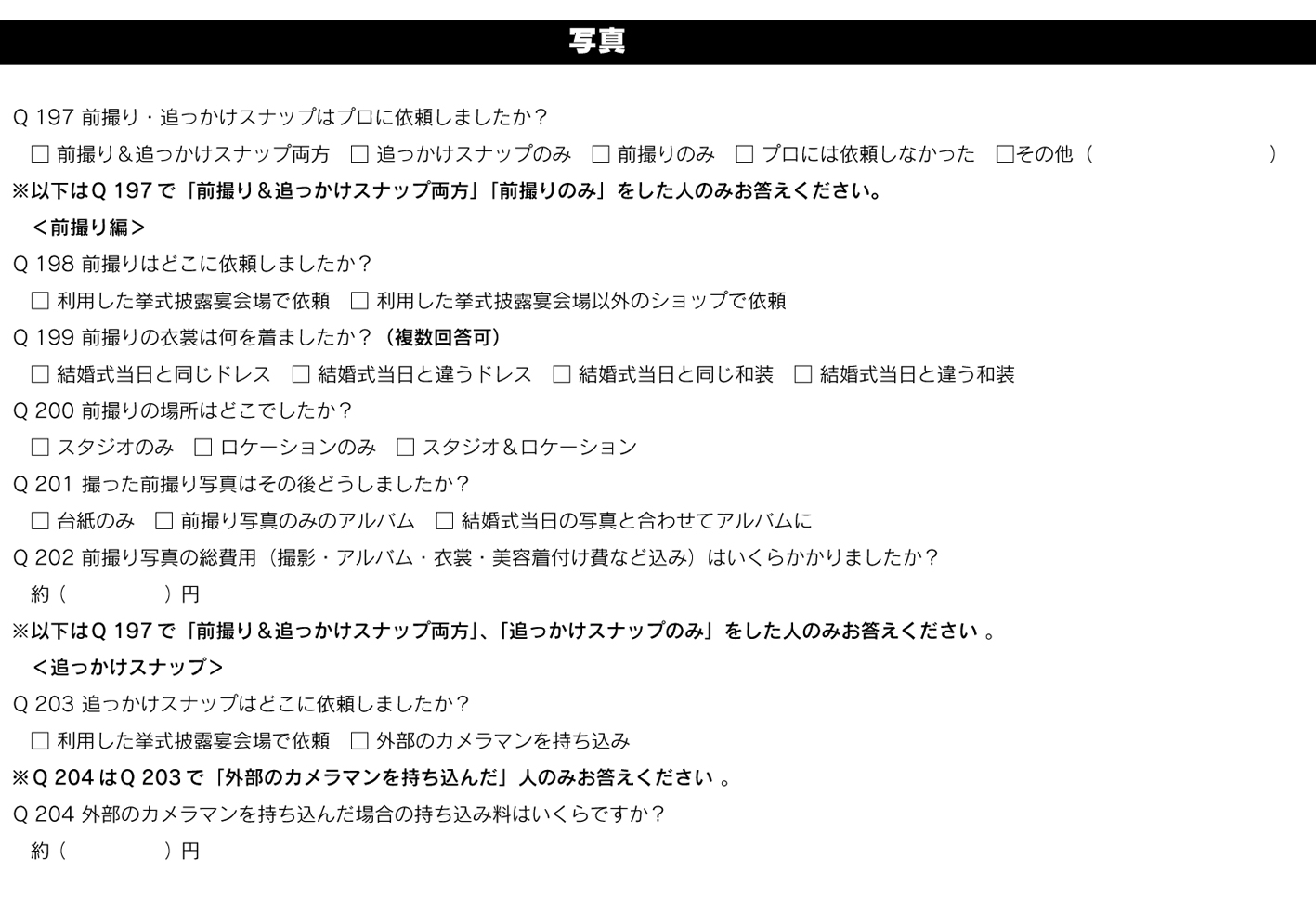
↑ちなみにアンケートはこんな状態。
カップルさんから送られてきたコレをぜんぶまとめてひとつの冊子にしていくのが今ゆっちがやっている仕事なのです。
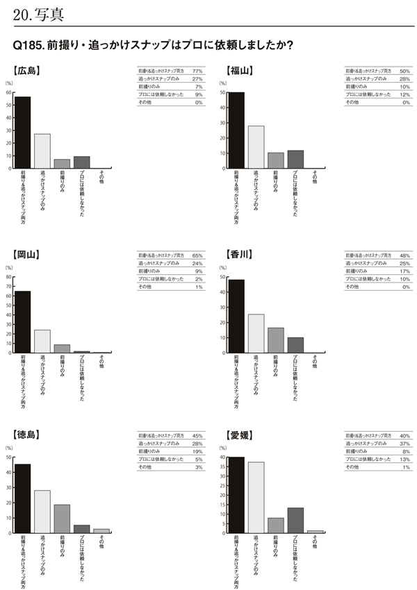
チラッとだけ見せると
↑こんな感じ。
地域ごとにこんなデータがでてきて、今、徳島ではこんなウェディングの傾向があるんだよ!
ということを知る上で、みなさんのアンケートはとっても役に立っているんですよ。
ほら、ウェディングスタイルの記事で「データはウェディングスタイル調べ」という言葉が時々出てくるでしょ。アレもこの白書のデータを使っていることが多いんですよ。
だから、今は結婚準備が忙しくて大変だと思いますが、結婚式が終わった後、もうちょっとだけ、協力してくださいね。
ゆっちもお盆休みに入るまでに頑張ってまとめるっす!
PR
ブログランキングに参加しています。クリックで応援していただけると嬉しいです♪
Comment
コメントの修正にはpasswordが必要です。任意の英数字を入力して下さい。
管理人のみ閲覧可
管理人のみ閲覧可
